Clinical Focus ›› 2025, Vol. 40 ›› Issue (10): 923-929.doi: 10.3969/j.issn.1004-583X.2025.10.008
Previous Articles Next Articles
Yang Xiaodong1, Yu Xiao1, Ma Ruixue1, Tong Xi1, Liu Jianfeng2(
)
Received:2025-07-29
Online:2025-10-20
Published:2025-10-31
Contact:
Liu Jianfeng
E-mail:liujianfeng5500@163.com
CLC Number:
Yang Xiaodong, Yu Xiao, Ma Ruixue, Tong Xi, Liu Jianfeng. Association between the body roundness index and carotid intima-media thickness in patients with type 2 diabetes mellitus[J]. Clinical Focus, 2025, 40(10): 923-929.
Add to citation manager EndNote|Ris|BibTeX
URL: https://www.lchc.cn/EN/10.3969/j.issn.1004-583X.2025.10.008
| 项目 | 总体 | Q1(<3.19) | Q2(3.19~3.90) | Q3(3.90~4.76) | Q4(>4.76) | P值 | ||||||
|---|---|---|---|---|---|---|---|---|---|---|---|---|
| 例数 | 1136 | 284 | 284 | 284 | 284 | |||||||
| 年龄(岁) | 53.00(44.00~61.00) | 51.00(43.00~59.00) | 50.00(41.00~58.00) | 52.00(42.50~59.50) | 57.00(51.00~66.00) | <0.01 | ||||||
| 性别[例(%)] | ||||||||||||
| 女 男 | 428(37.7) 708(62.3) | 0 284(100.0) | 0 284(100.0) | 144(50.7) 140(49.3) | 284(100.0) 0 | <0.01 | ||||||
| 冠心病[例(%)] | ||||||||||||
| 无 有 | 958(84.3) 178(15.7) | 244(85.9) 40(14.1) | 254(89.4) 30(10.6) | 227(79.9) 57(20.1) | 233(82.0) 51(18.0) | 0.010 | ||||||
| 高血压[例(%)] | ||||||||||||
| 无 有 | 613(54.0) 523(46.0) | 193(68.0) 91(32.0) | 145(51.1) 139(48.9) | 152(53.5) 132(46.5) | 123(43.3) 161(56.7) | <0.01 | ||||||
| 慢性肾脏病[例(%)] | ||||||||||||
| 无 有 | 850(74.8) 286(25.2) | 224(78.9) 60(21.1) | 197(69.4) 87(30.6) | 213(75.0) 71(25.0) | 216(76.1) 68(23.9) | 0.066 | ||||||
| 脂肪肝[例(%)] | ||||||||||||
| 无 有 | 582(51.2) 554(48.8) | 167(58.8) 117(41.2) | 129(45.4) 155(54.6) | 140(49.3) 144(50.7) | 146(51.4) 138(48.6) | 0.013 | ||||||
| 脑卒中[例(%)] | ||||||||||||
| 无 有 | 773(68.1) 363(32.0) | 193(68.0) 91(32.0) | 182(64.1) 102(35.9) | 202(71.1) 82(28.9) | 196(69.0) 88(31.0) | 0.332 | ||||||
| 饮酒史[例(%)] | ||||||||||||
| 无 有 | 877(77.2) 259(22.8) | 191(67.3) 93(32.8) | 193(68.0) 91(32.0) | 225(79.2) 59(20.8) | 268(94.4) 16(5.6) | <0.01 | ||||||
| 吸烟史[例(%)] | ||||||||||||
| 无 有 | 916(80.6) 220(19.4) | 215(75.7) 69(24.3) | 196(69.0) 88(31.0) | 227(79.9) 57(20.1) | 278(97.9) 6(2.1) | <0.01 | ||||||
| cIMT[例(%)] | ||||||||||||
| 无 有 | 528(46.5) 608(53.5) | 204(71.8) 80(28.2) | 155(54.4) 130(45.6) | 102(35.9) 182(64.1) | 67(23.7) 216(76.3) | <0.01 | ||||||
| T2DM病程[例(%)] | ||||||||||||
| <1年 | 222(19.5) | 93(32.7) | 56(19.6) | 41(14.4) | 32(11.3) | |||||||
| 1~5年 | 267(23.5) | 116(40.8) | 68(23.9) | 59(20.8) | 24(8.5) | <0.01 | ||||||
| 5~10年 | 225(19.8) | 50(17.6) | 67(23.5) | 67(23.6) | 41(14.5) | |||||||
| ≥10年 | 422(37.1) | 25(8.8) | 94(33.0) | 117(41.2) | 186(65.7) | |||||||
| ALB(g/L) | 44.00(41.60~46.45) | 44.00(41.40~46.40) | 44.00(41.85~46.25) | 43.95(41.60~46.65) | 43.90(41.55~46.50) | 0.936 | ||||||
| TBiL(μmol/L) | 11.60(8.50~15.40) | 12.00(8.92~15.74) | 12.20(9.25~16.15) | 11.40(8.10~15.71) | 10.45(8.00~13.80) | <0.01 | ||||||
| ALT(U/L) | 20.00(14.00~31.00) | 18.00(13.00~26.00) | 18.00(14.00~30.00) | 21.55(15.00~38.00) | 21.00(14.00~35.00) | <0.01 | ||||||
| AST(U/L) | 17.00(14.00~23.70) | 16.00(13.00~21.00) | 16.00(14.00~22.50) | 18.00(14.00~26.00) | 18.00(14.00~25.00) | 0.002 | ||||||
| UREA(mmol/L) | 5.30(4.30~6.25) | 5.30(4.50~6.20) | 5.30(4.40~6.30) | 5.10(4.20~6.00) | 5.30(4.30~6.60) | 0.216 | ||||||
| SCr(μmol/L) | 63.00(53.00~72.25) | 64.00(53.00~73.50) | 65.00(55.50~74.00) | 61.00(51.00~70.00) | 63.00(52.00~71.50) | 0.008 | ||||||
| SUA(μmol/L) | 296.00(244.00~365.00) | 308.00(257.00~368.00) | 289.50(225.50~363.50) | 285.00(239.00~360.00) | 300.00(254.00~372.00) | 0.065 | ||||||
| TC(mg/dl) | 182.14(154.68~213.66) | 191.42(158.74~221.78) | 178.27(153.33~209.01) | 178.66(152.17~209.59) | 180.40(156.81~213.27) | 0.041 | ||||||
| TG(mg/dl) | 154.07(99.62~240.40) | 153.19(97.84~239.07) | 133.26(88.55~208.09) | 167.80(102.27~252.35) | 173.55(110.24~269.18) | <0.01 | ||||||
| HDL-C(mg/dl) | 40.22(34.03~48.34) | 40.22(34.03~51.43) | 40.99(34.80~50.27) | 40.03(34.03~46.79) | 39.44(33.07~46.79) | 0.235 | ||||||
| LDL-C(mg/dl) | 106.73(80.63~133.41) | 115.05(83.34~142.89) | 103.25(81.21~128.38) | 106.15(79.27~132.06) | 105.96(79.47~130.71) | 0.074 | ||||||
| FBG(mg/dl) | 160.92(127.40~221.65) | 172.99(133.08~234.80) | 153.17(120.37~213.00) | 160.38(125.60~213.00) | 164.52(131.28~225.25) | 0.007 | ||||||
| FINS(μU/ml) | 9.30(5.55~14.70) | 8.50(4.50~14.15) | 9.15(5.30~12.70) | 9.15(5.80~15.00) | 10.55(6.50~16.85) | 0.002 | ||||||
| CP(ng/ml) | 2.42(1.66~3.31) | 2.25(1.42~3.13) | 2.44(1.68~3.14) | 2.52(1.74~3.35) | 2.58(1.79~3.51) | 0.017 | ||||||
| HbA1c(%) | 8.50(7.20~10.20) | 8.65(7.25~10.55) | 8.50(7.00~10.10) | 8.40(7.30~10.10) | 8.60(7.20~10.55) | 0.261 | ||||||
| WBC(×109/L) | 6.22(5.26~7.46) | 6.11(5.21~7.31) | 6.13(5.15~7.26) | 6.07(5.01~7.27) | 6.70(5.64~8.19) | <0.01 | ||||||
| RBC(×1012/L) | 4.50(4.84~4.84) | 4.87(4.52~5.24) | 4.83(4.52~5.18) | 4.81(4.49~5.19) | 4.87(4.50~5.25) | 0.663 | ||||||
| HGB(g/L) | 147.00(135.00~157.00) | 148.50(136.00~158.00) | 148.00(137.00~157.00) | 146.00(134.25~156.75) | 146.00(134.00~156.00) | 0.313 | ||||||
| MONO#(×109/L) | 0.36(0.29~0.44) | 0.36(0.30~0.45) | 0.35(0.27~0.43) | 0.36(0.29~0.44) | 0.37(0.31~0.45) | 0.071 | ||||||
| LYM#(×109/L) | 1.88(1.50~2.32) | 1.90(1.45~2.29) | 1.78(1.43~2.22) | 1.84(1.53~2.36) | 2.00(1.63~2.40) | <0.01 | ||||||
| ANC(×109/L) | 3.83(2.99~4.70) | 3.79(2.89~4.60) | 3.83(2.98~4.56) | 3.60(2.86~4.65) | 4.15(3.28~5.03) | <0.01 | ||||||
| CRP(mg/L) | 3.76(1.07~19.70) | 3.17(8.92~78.58) | 6.92(2.63~26.34) | 2.88(1.23~6.86) | 0.68(0.44~1.35) | <0.01 | ||||||
| GFR(ml/min) | 111.09(88.67~135.20) | 109.00(87.74~132.46) | 103.91(84.55~125.97) | 112.94(91.63~139.07) | 118.91(94.59~144.78) | <0.01 | ||||||
| BMI(kg/m2) | 26.97(24.88~29.44) | 25.32(23.50~27.82) | 26.24(24.49~28.18) | 27.17(25.35~29.41) | 29.45(26.83~32.81) | <0.01 | ||||||
Tab.1 Comparison of baseline data among the four groups
| 项目 | 总体 | Q1(<3.19) | Q2(3.19~3.90) | Q3(3.90~4.76) | Q4(>4.76) | P值 | ||||||
|---|---|---|---|---|---|---|---|---|---|---|---|---|
| 例数 | 1136 | 284 | 284 | 284 | 284 | |||||||
| 年龄(岁) | 53.00(44.00~61.00) | 51.00(43.00~59.00) | 50.00(41.00~58.00) | 52.00(42.50~59.50) | 57.00(51.00~66.00) | <0.01 | ||||||
| 性别[例(%)] | ||||||||||||
| 女 男 | 428(37.7) 708(62.3) | 0 284(100.0) | 0 284(100.0) | 144(50.7) 140(49.3) | 284(100.0) 0 | <0.01 | ||||||
| 冠心病[例(%)] | ||||||||||||
| 无 有 | 958(84.3) 178(15.7) | 244(85.9) 40(14.1) | 254(89.4) 30(10.6) | 227(79.9) 57(20.1) | 233(82.0) 51(18.0) | 0.010 | ||||||
| 高血压[例(%)] | ||||||||||||
| 无 有 | 613(54.0) 523(46.0) | 193(68.0) 91(32.0) | 145(51.1) 139(48.9) | 152(53.5) 132(46.5) | 123(43.3) 161(56.7) | <0.01 | ||||||
| 慢性肾脏病[例(%)] | ||||||||||||
| 无 有 | 850(74.8) 286(25.2) | 224(78.9) 60(21.1) | 197(69.4) 87(30.6) | 213(75.0) 71(25.0) | 216(76.1) 68(23.9) | 0.066 | ||||||
| 脂肪肝[例(%)] | ||||||||||||
| 无 有 | 582(51.2) 554(48.8) | 167(58.8) 117(41.2) | 129(45.4) 155(54.6) | 140(49.3) 144(50.7) | 146(51.4) 138(48.6) | 0.013 | ||||||
| 脑卒中[例(%)] | ||||||||||||
| 无 有 | 773(68.1) 363(32.0) | 193(68.0) 91(32.0) | 182(64.1) 102(35.9) | 202(71.1) 82(28.9) | 196(69.0) 88(31.0) | 0.332 | ||||||
| 饮酒史[例(%)] | ||||||||||||
| 无 有 | 877(77.2) 259(22.8) | 191(67.3) 93(32.8) | 193(68.0) 91(32.0) | 225(79.2) 59(20.8) | 268(94.4) 16(5.6) | <0.01 | ||||||
| 吸烟史[例(%)] | ||||||||||||
| 无 有 | 916(80.6) 220(19.4) | 215(75.7) 69(24.3) | 196(69.0) 88(31.0) | 227(79.9) 57(20.1) | 278(97.9) 6(2.1) | <0.01 | ||||||
| cIMT[例(%)] | ||||||||||||
| 无 有 | 528(46.5) 608(53.5) | 204(71.8) 80(28.2) | 155(54.4) 130(45.6) | 102(35.9) 182(64.1) | 67(23.7) 216(76.3) | <0.01 | ||||||
| T2DM病程[例(%)] | ||||||||||||
| <1年 | 222(19.5) | 93(32.7) | 56(19.6) | 41(14.4) | 32(11.3) | |||||||
| 1~5年 | 267(23.5) | 116(40.8) | 68(23.9) | 59(20.8) | 24(8.5) | <0.01 | ||||||
| 5~10年 | 225(19.8) | 50(17.6) | 67(23.5) | 67(23.6) | 41(14.5) | |||||||
| ≥10年 | 422(37.1) | 25(8.8) | 94(33.0) | 117(41.2) | 186(65.7) | |||||||
| ALB(g/L) | 44.00(41.60~46.45) | 44.00(41.40~46.40) | 44.00(41.85~46.25) | 43.95(41.60~46.65) | 43.90(41.55~46.50) | 0.936 | ||||||
| TBiL(μmol/L) | 11.60(8.50~15.40) | 12.00(8.92~15.74) | 12.20(9.25~16.15) | 11.40(8.10~15.71) | 10.45(8.00~13.80) | <0.01 | ||||||
| ALT(U/L) | 20.00(14.00~31.00) | 18.00(13.00~26.00) | 18.00(14.00~30.00) | 21.55(15.00~38.00) | 21.00(14.00~35.00) | <0.01 | ||||||
| AST(U/L) | 17.00(14.00~23.70) | 16.00(13.00~21.00) | 16.00(14.00~22.50) | 18.00(14.00~26.00) | 18.00(14.00~25.00) | 0.002 | ||||||
| UREA(mmol/L) | 5.30(4.30~6.25) | 5.30(4.50~6.20) | 5.30(4.40~6.30) | 5.10(4.20~6.00) | 5.30(4.30~6.60) | 0.216 | ||||||
| SCr(μmol/L) | 63.00(53.00~72.25) | 64.00(53.00~73.50) | 65.00(55.50~74.00) | 61.00(51.00~70.00) | 63.00(52.00~71.50) | 0.008 | ||||||
| SUA(μmol/L) | 296.00(244.00~365.00) | 308.00(257.00~368.00) | 289.50(225.50~363.50) | 285.00(239.00~360.00) | 300.00(254.00~372.00) | 0.065 | ||||||
| TC(mg/dl) | 182.14(154.68~213.66) | 191.42(158.74~221.78) | 178.27(153.33~209.01) | 178.66(152.17~209.59) | 180.40(156.81~213.27) | 0.041 | ||||||
| TG(mg/dl) | 154.07(99.62~240.40) | 153.19(97.84~239.07) | 133.26(88.55~208.09) | 167.80(102.27~252.35) | 173.55(110.24~269.18) | <0.01 | ||||||
| HDL-C(mg/dl) | 40.22(34.03~48.34) | 40.22(34.03~51.43) | 40.99(34.80~50.27) | 40.03(34.03~46.79) | 39.44(33.07~46.79) | 0.235 | ||||||
| LDL-C(mg/dl) | 106.73(80.63~133.41) | 115.05(83.34~142.89) | 103.25(81.21~128.38) | 106.15(79.27~132.06) | 105.96(79.47~130.71) | 0.074 | ||||||
| FBG(mg/dl) | 160.92(127.40~221.65) | 172.99(133.08~234.80) | 153.17(120.37~213.00) | 160.38(125.60~213.00) | 164.52(131.28~225.25) | 0.007 | ||||||
| FINS(μU/ml) | 9.30(5.55~14.70) | 8.50(4.50~14.15) | 9.15(5.30~12.70) | 9.15(5.80~15.00) | 10.55(6.50~16.85) | 0.002 | ||||||
| CP(ng/ml) | 2.42(1.66~3.31) | 2.25(1.42~3.13) | 2.44(1.68~3.14) | 2.52(1.74~3.35) | 2.58(1.79~3.51) | 0.017 | ||||||
| HbA1c(%) | 8.50(7.20~10.20) | 8.65(7.25~10.55) | 8.50(7.00~10.10) | 8.40(7.30~10.10) | 8.60(7.20~10.55) | 0.261 | ||||||
| WBC(×109/L) | 6.22(5.26~7.46) | 6.11(5.21~7.31) | 6.13(5.15~7.26) | 6.07(5.01~7.27) | 6.70(5.64~8.19) | <0.01 | ||||||
| RBC(×1012/L) | 4.50(4.84~4.84) | 4.87(4.52~5.24) | 4.83(4.52~5.18) | 4.81(4.49~5.19) | 4.87(4.50~5.25) | 0.663 | ||||||
| HGB(g/L) | 147.00(135.00~157.00) | 148.50(136.00~158.00) | 148.00(137.00~157.00) | 146.00(134.25~156.75) | 146.00(134.00~156.00) | 0.313 | ||||||
| MONO#(×109/L) | 0.36(0.29~0.44) | 0.36(0.30~0.45) | 0.35(0.27~0.43) | 0.36(0.29~0.44) | 0.37(0.31~0.45) | 0.071 | ||||||
| LYM#(×109/L) | 1.88(1.50~2.32) | 1.90(1.45~2.29) | 1.78(1.43~2.22) | 1.84(1.53~2.36) | 2.00(1.63~2.40) | <0.01 | ||||||
| ANC(×109/L) | 3.83(2.99~4.70) | 3.79(2.89~4.60) | 3.83(2.98~4.56) | 3.60(2.86~4.65) | 4.15(3.28~5.03) | <0.01 | ||||||
| CRP(mg/L) | 3.76(1.07~19.70) | 3.17(8.92~78.58) | 6.92(2.63~26.34) | 2.88(1.23~6.86) | 0.68(0.44~1.35) | <0.01 | ||||||
| GFR(ml/min) | 111.09(88.67~135.20) | 109.00(87.74~132.46) | 103.91(84.55~125.97) | 112.94(91.63~139.07) | 118.91(94.59~144.78) | <0.01 | ||||||
| BMI(kg/m2) | 26.97(24.88~29.44) | 25.32(23.50~27.82) | 26.24(24.49~28.18) | 27.17(25.35~29.41) | 29.45(26.83~32.81) | <0.01 | ||||||
| 变量 | 模型1 | 模型2 | |||
|---|---|---|---|---|---|
| OR值(95%CI) | P值 | OR值(95%CI) | P值 | ||
| BRI | 1.37(1.12~1.67) | 0.002 | 1.35(1.11~1.65) | 0.003 | |
| BRI四分位分组 | |||||
| Q1 | 1.00(参照组) | - | 1.00(参照组) | - | |
| Q2 | 2.34(1.61~3.38) | <0.01 | 2.23(1.53~3.24) | <0.01 | |
| Q3 | 3.48(2.21~5.50) | <0.01 | 3.44(2.17~5.44) | <0.01 | |
| Q4 | 4.16(2.13~8.13) | <0.01 | 3.96(2.03~7.42) | <0.01 | |
Tab.2 Multivariate logistic regression analysis of BRI and cIMT thickening in T2DM patients
| 变量 | 模型1 | 模型2 | |||
|---|---|---|---|---|---|
| OR值(95%CI) | P值 | OR值(95%CI) | P值 | ||
| BRI | 1.37(1.12~1.67) | 0.002 | 1.35(1.11~1.65) | 0.003 | |
| BRI四分位分组 | |||||
| Q1 | 1.00(参照组) | - | 1.00(参照组) | - | |
| Q2 | 2.34(1.61~3.38) | <0.01 | 2.23(1.53~3.24) | <0.01 | |
| Q3 | 3.48(2.21~5.50) | <0.01 | 3.44(2.17~5.44) | <0.01 | |
| Q4 | 4.16(2.13~8.13) | <0.01 | 3.96(2.03~7.42) | <0.01 | |
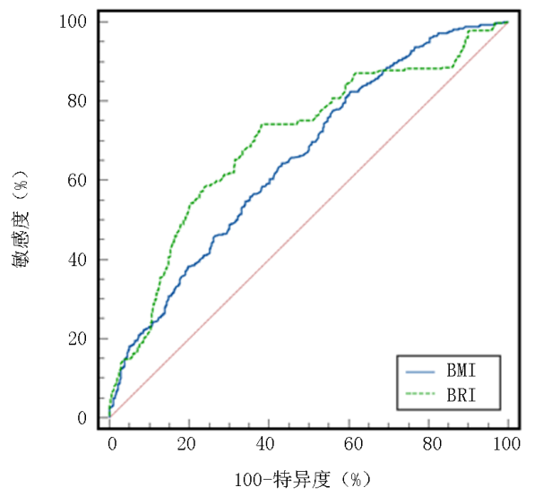
| 项目 | AUC | 标准误 | P值 | 95%CI | 敏感度 | 特异度 | 界值 | |
|---|---|---|---|---|---|---|---|---|
| 下限 | 上限 | |||||||
| BMI | 0.66 | 0.0161 | <0.01 | 0.63 | 0.68 | 82.40% | 39.60% | 25.155 |
| BRI | 0.70 | 0.0157 | <0.01 | 0.67 | 0.73 | 74.20% | 61.70% | 3.700 |
Tab.3 Predictive value of BMI and BRI for cIMT in patients with T2DM
| 项目 | AUC | 标准误 | P值 | 95%CI | 敏感度 | 特异度 | 界值 | |
|---|---|---|---|---|---|---|---|---|
| 下限 | 上限 | |||||||
| BMI | 0.66 | 0.0161 | <0.01 | 0.63 | 0.68 | 82.40% | 39.60% | 25.155 |
| BRI | 0.70 | 0.0157 | <0.01 | 0.67 | 0.73 | 74.20% | 61.70% | 3.700 |
| 变量 | P值 | OR(95%CI) | 交互P值 |
|---|---|---|---|
| 年龄 | |||
| <45岁 | 0.609 | 1.12(0.73~1.71) | |
| 45~60岁 | 0.006 | 1.57(1.13~2.16) | 0.816 |
| ≥60岁 | 0.091 | 1.40(0.95~2.07) | |
| 吸烟史 | |||
| 有 无 | 0.422 0.006 | 1.21(0.76~1.94) 1.39(1.1~1.75) | 0.161 |
| 高血压病史 | |||
| 有 无 | 0.022 0.154 | 1.45(1.05~1.98) 1.22(0.93~1.60) | 0.450 |
| 肥胖 | |||
| BMI≥28 BMI<28 | 0.063 0.032 | 1.32(0.98~1.78) 1.39(1.03~1.89) | 0.943 |
| T2DM病程 | |||
| <1年 | <0.01 | 1.79(1.35~2.38) | |
| 1~5年 | <0.01 | 1.79(1.34~2.37) | <0.01 |
| 5~10年 | <0.01 | 1.65(1.24~2.19) | |
| ≥10年 | <0.01 | 1.97(1.60~2.43) |
Tab.4 Subgroup analysis
| 变量 | P值 | OR(95%CI) | 交互P值 |
|---|---|---|---|
| 年龄 | |||
| <45岁 | 0.609 | 1.12(0.73~1.71) | |
| 45~60岁 | 0.006 | 1.57(1.13~2.16) | 0.816 |
| ≥60岁 | 0.091 | 1.40(0.95~2.07) | |
| 吸烟史 | |||
| 有 无 | 0.422 0.006 | 1.21(0.76~1.94) 1.39(1.1~1.75) | 0.161 |
| 高血压病史 | |||
| 有 无 | 0.022 0.154 | 1.45(1.05~1.98) 1.22(0.93~1.60) | 0.450 |
| 肥胖 | |||
| BMI≥28 BMI<28 | 0.063 0.032 | 1.32(0.98~1.78) 1.39(1.03~1.89) | 0.943 |
| T2DM病程 | |||
| <1年 | <0.01 | 1.79(1.35~2.38) | |
| 1~5年 | <0.01 | 1.79(1.34~2.37) | <0.01 |
| 5~10年 | <0.01 | 1.65(1.24~2.19) | |
| ≥10年 | <0.01 | 1.97(1.60~2.43) |
| [1] | Magliano DJ, Boyko EJ, IDF Diabetes Atlas 10th Edition Scientific Committee, et al. IDF diabetes atlas[M]. 10th ed. Brussels: International Diabetes Federation, 2021. |
| [2] | Ma CX, Ma XN, Guan CH, et al. Cardiovascular disease in type 2 diabetes mellitus: Progress toward personalized management[J]. Cardiovasc Diabetol, 2022, 21(1): 74.doi:10.1186/s12933-022-01516-6. |
| [3] |
Katakami N, Mita T, Gosho M, et al. Clinical utility of carotid ultrasonography in the prediction of cardiovascular events in patients with diabetes: A combined analysis of data obtained in five longitudinal studies[J]. J Atheroscler Thromb, 2018, 25(10): 1053-1066.doi:10.5551/jat.43141.
pmid: 29445076 |
| [4] | Liu B, Liu B, Wu G, et al. Relationship between body-roundness index and metabolic syndrome in type 2 diabetes[J]. Diabetes Metab Syndr Obes, 2019, 12: 931-935.doi:10.2147/DMSO.S209964. |
| [5] |
Wu L, Pu H, Zhang M, et al. Non-linear relationship between the body roundness index and incident type 2 diabetes in Japan: A secondary retrospective analysis[J]. J Transl Med, 2022, 20(1): 110.doi:10.1186/s12967-022-03321-x.
pmid: 35255926 |
| [6] |
Liu PJ, Ma F, Lou HP, et al. Body roundness index and body adiposity index: Two new anthropometric indices to identify metabolic syndrome among Chinese postmenopausal women[J]. Climacteric, 2016, 19(5): 433-439.doi:10.1080/13697137.2016.1202229.
pmid: 27410775 |
| [7] | Tao L, Miao L, Guo YJ, et al. Associations of body roundness index with cardiovascular and all-cause mortality: NHANES 2001-2018[J]. J Hum Hypertens, 2024, 38(2): 120-127.doi:10.1038/s41371-023-00864-4. |
| [8] | 中华医学会糖尿病学分会. 中国糖尿病防治指南(2024版)[J]. 中华糖尿病杂志, 2025, 17(1):16-139.doi:10.3760/cma.j.cn115791-20241203-00705. |
| [9] |
Thomas DM, Bredlau C, Bosy-Westphal A, et al. Relationships between body roundness with body fat and visceral adipose tissue emerging from a new geometrical model[J]. Obesity, 2013, 21(11): 2264-2271.doi:10.1002/oby.20408.
pmid: 23519954 |
| [10] |
Touboul PJ, Hennerici MG, Meairs S, et al. An update on behalf of the advisory board of the 3rd, 4th and 5th watching the risk symposia, at the 13th, 15th and 20th European stroke conferences, Mannheim, Germany, 2004, Brussels, Belgium, 2006, and Hamburg, Germany, 2011[J]. Cerebrovasc Dis, 2012, 34(4): 290-296.doi:10.1159/000343145.
pmid: 23128470 |
| [11] | Bauer M, Caviezel S, Teynor A, et al. Carotid intima-media thickness as a biomarker of subclinical atherosclerosis[J]. Swiss Med Wkly, 2012, 142(4344): w13705-w13705.doi:10.4414/smw.2012.13705. |
| [12] | Zeng N, Shen Y, Li Y, et al. Association between remnant cholesterol and subclinical carotid atherosclerosis among Chinese general population in health examination[J]. J Stroke Cerebrovasc Dis, 2023, 32(8): 107234.doi:10.1016/j.jstrokecerebrovasdis.2023.107234. |
| [13] |
Miao M, Zhou G, Bao A, et al. Triglyceride-glucose index and common carotid artery intima-media thickness in patients with ischemic stroke[J]. Cardiovasc Diabetol, 2022, 21(1): 43.doi:10.1186/s12933-022-01472-1.
pmid: 35303881 |
| [14] | Saito M, Miyake Y, Tanaka K, et al. Smoking and secondhand smoke exposure and carotid intima-media thickness: Baseline data from the Aidai Cohort Study in Japan[J]. Tob Induc Dis, 2024, 22: 10.doi:10.18332/tid/175632. |
| [15] | Wang P, Fan Y, Gao H, et al. Body roundness index as a predictor of all-cause and cardiovascular mortality in patients with diabetes and prediabetes[J]. Diabetes Res Clin Pract, 2025, 219: 111958.doi:10.1016/j.diabres.2024.111958. |
| [16] | Lin H, Jia X, Yin Y, et al. Association of body roundness index with cardiovascular disease and all-cause mortality among Chinese adults[J]. Diabetes Obes Metab, 2025, 27(5): 2698-2707.doi:10.1111/dom.16272. |
| [17] | 苏健, 吕淑荣, 杨婕, 等. 江苏省成人脂质蓄积指数与高血压和糖尿病患病风险关系的研究[J]. 中华疾病控制杂志, 2018, 22(3):217-221,271.doi:10.16462/j.cnki.zhjbkz.2018.03.002. |
| [18] | 牛璐, 贺枫, 雒杲, 等. 肥胖评价指标对2型糖尿病患者心脏结构和功能影响的研究[J]. 中国糖尿病杂志, 2022, 30(12):881-886. |
| [19] | 袁勇, 孔凡斌, 吉永, 等. 动脉粥样硬化危险因素视黄醇结合蛋白4与血脂的相关性[J]. 心脏杂志, 2021, 33(1):53-56.doi:10.3969/j.issn.1006?6187.2022.12.001. |
| [20] |
Ehrlich KC, Lacey M, Ehrlich M. Tissue-specific epigenetics of atherosclerosis-related ANGPT and ANGPTL genes[J]. Epigenomics, 2019, 11(2): 169-186.doi:10.2217/epi-2018-0150.
pmid: 30688091 |
| [21] | Redinger RN. The pathophysiology of obesity and its clinical manifestations[J]. Gastroenterol Hepatol, 2007, 3(11): 856. |
| [22] | Kinlen D, Cody D, O’Shea D. Complications of obesity[J]. QJM-INT J MED, 2018, 111(7): 437-443. |
| [23] |
Park SW, Kim SK, Cho YW, et al. Insulin resistance and carotid atherosclerosis in patients with type 2 diabetes[J]. Atherosclerosis, 2009, 205(1):309-313. doi:10.1016/j.atherosclerosis.2008.12.006.
pmid: 19147142 |
| [24] |
Silva ES, Giglio PN, Waisberg DR, et al. Obesity is a risk factor for significant carotid atherosclerosis in patients aged 39 to 55 years[J]. Angiology, 2014, 65(7): 602-606.doi:10.1177/0003319713494753.
pmid: 23847106 |
| [25] | 陈祚, 李苏宁, 王馨, 等. 我国中年人群高血压、超重和肥胖的发病率及其与心血管事件的关系[J]. 中华心血管病杂志, 2020, 48(1):47-53.doi:10.3760/cma.j.issn.0253-3758.2020.01.005. |
| Viewed | ||||||
|
Full text |
|
|||||
|
Abstract |
|
|||||